Ось ми вже на фінішній прямій знайомства з номінаціями цьогорічного Конкурсу наукових зображень. Сьогодні розповідаємо про четверту номінацію «Нефотографічні зображення».
«Нефотографічні зображення» — номінація, яка включає у себе всі зображення, які не створені фотоапаратом чи мікроскопом. Сюди входять графіки, 3D та 2D візуалізації явищ, елементів, матриць тощо. Це можуть бути як статичні зображення, так і відео руху, певного процесу тощо.
Як завантажити зображення?
- Увійдіть або створіть сторінку на Вікісховищі
- Перейдіть на сторінку http://sciencephoto.wikimedia.org.ua/ та натисніть на кнопку «Завантажити фото»
- Оберіть фото чи відео, які ви хочете завантажити, вкажіть авторські права та ліцензію Creative Commons Attribution ShareAlike 4.0
- Заповніть поля всі необхідні поля, а також надайте детальний опис українською та англійською мовами. Дайте пояснення, що зображено, у чому полягає цінність та на що варто звернути увагу.
Наприклад, так виглядає опис зображення «Поверхня сильно викривленої ліпідної мембрани отримана за допомогою молекулярної динаміки з фіксованою кривизною». Автор зображення — Семен Єсилевський. Зображення посіло перше місце у конкурсі 2020 року у цій категорії.

- Вкажіть дату, коли було зроблене зображення
- У графі «Оберіть конкурсну категорію», оберіть «Нефотографічні зображення»
- Натисніть «Опублікувати файли»
- Готово!
Нагадуємо, що завантажувати можна лише ваші власні зображення, або ж за згодою співавторів, якщо ви робили це у кооперації.
Нагадуємо, що Вікісховище підтримує відео лише формату Webm. Про конвертацію відео читайте тут: Help:Конвертація відео.webm.
Якщо ви вперше берете участь, пропонуємо переглянути запис вебінару, на якому організатори детально показують всі етапі завантаження фото та діляться порадами. Відео за посиланням.
Для того, щоб зрозуміти, які зображення ви можете подати, а також поглянути на потрібні описи зображень — пропонуємо переглянути кілька переможців номінації «Нефотографічні зображення»:
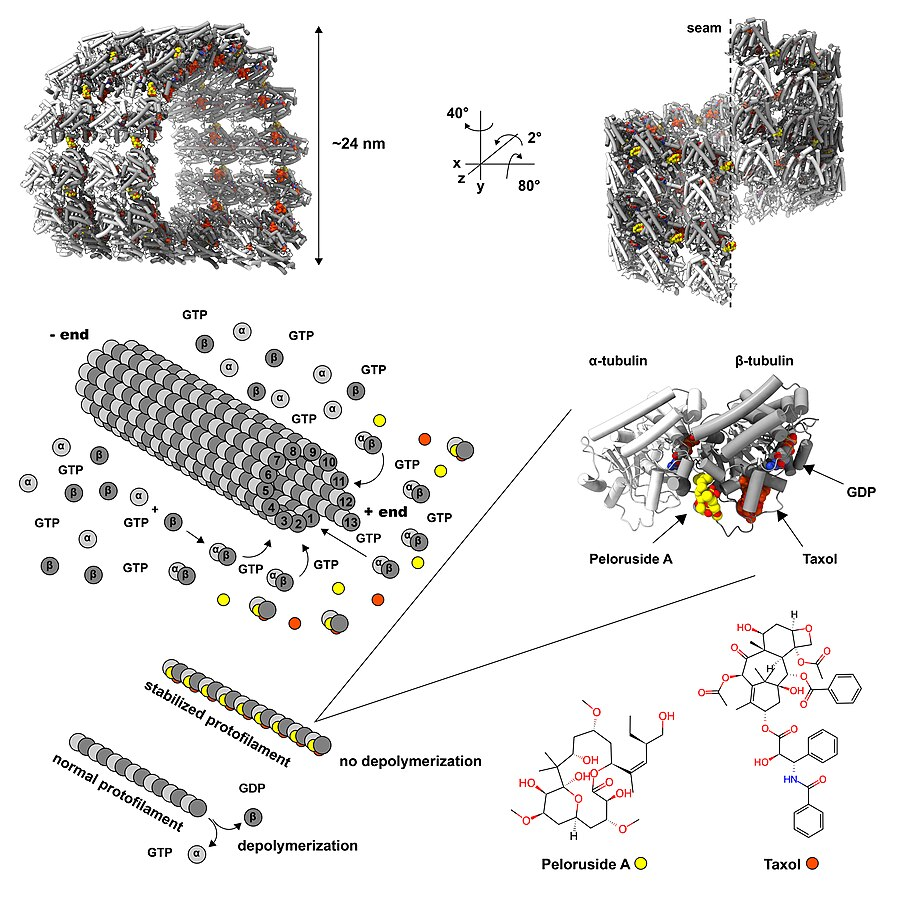
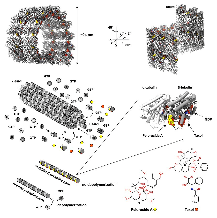
Сегмент мікротрубочки Sus scrofa після зв’язування з таксолом та пелорузидом. Автор — Євген Кустовський, 1 місце у номінації 2023 року.
Розширена модель SEIR з урахуванням карантину SEIQRD епідемії COVID-19 в Україні. Автор — Юрій Бельчинський, 2 місце у номінації 2020 року.

Електростатичний потенціал навколо викривленого сольватованого моношару MoS2. Автор — Семен Єсилевський, 3 місце у номінації 2021 року.


